2003 ÖSS Matematik Soru ve Çözümleri Online Test
Merhaba arkadaşlar , çıkmış soruları tüm hızımızla çözmeye devam edelim. Analizimizi yaptıktan sonra değerlendirmeye devam ediyoruz. Müfredatta olup hiç çıkmayan konular var. Bu konular tehlikeli konular hiç çıkmadı deyip yüz çevirmemek lazım dolayısı ile MEB yayınlarının kitaplarını hemen kitaplığınızdan çıkarıp atmayın ara ara göz gezdirmekte fayda var. Aslında çıkmış soruları son üç haftaya , son ana bırakmamak lazım amaç soruların mantığını anlayıp konu dağılımını kafamızda oturtup rutin tekrarlarımızı yapıp bol soru ile destekleyip iyi sonuçlar elde etmemiz gerek. Her gün deneme çözmeye devam edelim arkadaşlar ne kadar çok soru çeşidi o kadar başarı 🙂 Hepinize sonsuz başarılar diliyorum 🙂
2003 ÖSS Sınavı Matematik Soru ve Çözümleri
Tebrikler - 2003 ÖSS Sınavı Matematik Soru ve Çözümleri adli sinavini tamamladin.
Karnen asagidaki gibi:
- Soru sayisi: %%TOTAL%%
- Yanlis sayisi: %%WRONG_ANSWERS%%
- Dogru sayisi: %%SCORE%%
- Dogru yüzdesi : %%PERCENTAGE%%
- Yukaridaki istatistiklerinden yola çikarak seninle ilgili düsüncem su: %%RATING%%
Yanıtlarınız aşağıdaki gibidir.
Soru 1 |

ŞIKKI | |
ŞIKKI | |
ŞIKKI | |
ŞIKKI | |
ŞIKKI |
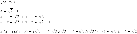
1 numaralı soru için açıklama

Soru 2 |

ŞIKKI | |
ŞIKKI | |
ŞIKKI | |
ŞIKKI | |
ŞIKKI |
2 numaralı soru için açıklama

Soru 3 |

ŞIKKI | |
ŞIKKI | |
ŞIKKI | |
ŞIKKI | |
ŞIKKI |
3 numaralı soru için açıklama

Soru 4 |

ŞIKKI | |
ŞIKKI | |
ŞIKKI | |
ŞIKKI | |
ŞIKKI |
4 numaralı soru için açıklama

Soru 5 |

ŞIKKI | |
ŞIKKI | |
ŞIKKI | |
ŞIKKI | |
ŞIKKI |
5 numaralı soru için açıklama

Soru 6 |

ŞIKKI | |
ŞIKKI | |
ŞIKKI | |
ŞIKKI | |
ŞIKKI |
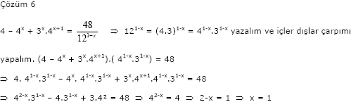
6 numaralı soru için açıklama

Soru 7 |

ŞIKKI | |
ŞIKKI | |
ŞIKKI | |
ŞIKKI | |
ŞIKKI |
7 numaralı soru için açıklama

Soru 8 |

ŞIKKI | |
ŞIKKI | |
ŞIKKI | |
ŞIKKI | |
ŞIKKI |
8 numaralı soru için açıklama

Soru 9 |

ŞIKKI | |
ŞIKKI | |
ŞIKKI | |
ŞIKKI | |
ŞIKKI |
9 numaralı soru için açıklama

Soru 10 |

ŞIKKI | |
ŞIKKI | |
ŞIKKI | |
ŞIKKI | |
ŞIKKI |
10 numaralı soru için açıklama

Soru 11 |

ŞIKKI | |
ŞIKKI | |
ŞIKKI | |
ŞIKKI | |
ŞIKKI |
11 numaralı soru için açıklama

Soru 12 |

ŞIKKI | |
ŞIKKI | |
ŞIKKI | |
ŞIKKI | |
ŞIKKI |
12 numaralı soru için açıklama

Soru 13 |
ŞIKKI | |
ŞIKKI | |
ŞIKKI | |
ŞIKKI | |
ŞIKKI |
13 numaralı soru için açıklama

Soru 14 |
ŞIKKI | |
ŞIKKI | |
ŞIKKI | |
ŞIKKI | |
ŞIKKI |
14 numaralı soru için açıklama

Soru 15 |

ŞIKKI | |
ŞIKKI | |
ŞIKKI | |
ŞIKKI | |
ŞIKKI |
15 numaralı soru için açıklama

Soru 16 |

ŞIKKI | |
ŞIKKI | |
ŞIKKI | |
ŞIKKI | |
ŞIKKI |
16 numaralı soru için açıklama

Soru 17 |

ŞIKKI | |
ŞIKKI | |
ŞIKKI | |
ŞIKKI | |
ŞIKKI |
17 numaralı soru için açıklama

Soru 18 |

ŞIKKI | |
ŞIKKI | |
ŞIKKI | |
ŞIKKI | |
ŞIKKI |
18 numaralı soru için açıklama

Soru 19 |

ŞIKKI | |
ŞIKKI | |
ŞIKKI | |
ŞIKKI | |
ŞIKKI |
19 numaralı soru için açıklama

Soru 20 |

ŞIKKI | |
ŞIKKI | |
ŞIKKI | |
ŞIKKI | |
ŞIKKI |
20 numaralı soru için açıklama

Soru 21 |

ŞIKKI | |
ŞIKKI | |
ŞIKKI | |
ŞIKKI | |
ŞIKKI |
21 numaralı soru için açıklama

Soru 22 |

ŞIKKI | |
ŞIKKI | |
ŞIKKI | |
ŞIKKI | |
ŞIKKI |
22 numaralı soru için açıklama

Soru 23 |

ŞIKKI | |
ŞIKKI | |
ŞIKKI | |
ŞIKKI | |
ŞIKKI |
23 numaralı soru için açıklama

Soru 24 |

ŞIKKI | |
ŞIKKI | |
ŞIKKI | |
ŞIKKI | |
ŞIKKI |
24 numaralı soru için açıklama

Soru 25 |

ŞIKKI | |
ŞIKKI | |
ŞIKKI | |
ŞIKKI | |
ŞIKKI |
25 numaralı soru için açıklama

Soru 26 |

ŞIKKI | |
ŞIKKI | |
ŞIKKI | |
ŞIKKI | |
ŞIKKI |
26 numaralı soru için açıklama

Soru 27 |

ŞIKKI | |
ŞIKKI | |
ŞIKKI | |
ŞIKKI | |
ŞIKKI |
27 numaralı soru için açıklama

Soru 28 |

ŞIKKI | |
ŞIKKI | |
ŞIKKI | |
ŞIKKI | |
ŞIKKI |
28 numaralı soru için açıklama

Soru 29 |

ŞIKKI | |
ŞIKKI | |
ŞIKKI | |
ŞIKKI | |
ŞIKKI |
29 numaralı soru için açıklama

Soru 30 |

ŞIKKI | |
ŞIKKI | |
ŞIKKI | |
ŞIKKI | |
ŞIKKI |
30 numaralı soru için açıklama

Soru 31 |

ŞIKKI | |
ŞIKKI | |
ŞIKKI | |
ŞIKKI | |
ŞIKKI |
31 numaralı soru için açıklama

Soru 32 |

ŞIKKI | |
ŞIKKI | |
ŞIKKI | |
ŞIKKI | |
ŞIKKI |
32 numaralı soru için açıklama

Soru 33 |

ŞIKKI | |
ŞIKKI | |
ŞIKKI | |
ŞIKKI | |
ŞIKKI |
33 numaralı soru için açıklama

Soru 34 |

ŞIKKI | |
ŞIKKI | |
ŞIKKI | |
ŞIKKI | |
ŞIKKI |
34 numaralı soru için açıklama

Soru 35 |

ŞIKKI | |
ŞIKKI | |
ŞIKKI | |
ŞIKKI | |
ŞIKKI |
35 numaralı soru için açıklama

Soru 36 |

ŞIKKI | |
ŞIKKI | |
ŞIKKI | |
ŞIKKI | |
ŞIKKI |
36 numaralı soru için açıklama

Soru 37 |

ŞIKKI | |
ŞIKKI | |
ŞIKKI | |
ŞIKKI | |
ŞIKKI |
37 numaralı soru için açıklama

Soru 38 |

ŞIKKI | |
ŞIKKI | |
ŞIKKI | |
ŞIKKI | |
ŞIKKI |
38 numaralı soru için açıklama

Soru 39 |

ŞIKKI | |
ŞIKKI | |
ŞIKKI | |
ŞIKKI | |
ŞIKKI |
39 numaralı soru için açıklama

Soru 40 |

ŞIKKI | |
ŞIKKI | |
ŞIKKI | |
ŞIKKI | |
ŞIKKI |
40 numaralı soru için açıklama

Soru 41 |

ŞIKKI | |
ŞIKKI | |
ŞIKKI | |
ŞIKKI | |
ŞIKKI |
41 numaralı soru için açıklama

Soru 42 |

ŞIKKI | |
ŞIKKI | |
ŞIKKI | |
ŞIKKI | |
ŞIKKI |
42 numaralı soru için açıklama

Soru 43 |

ŞIKKI | |
ŞIKKI | |
ŞIKKI | |
ŞIKKI | |
ŞIKKI |
43 numaralı soru için açıklama

Soru 44 |

ŞIKKI | |
ŞIKKI | |
ŞIKKI | |
ŞIKKI | |
ŞIKKI |
44 numaralı soru için açıklama

Soru 45 |

ŞIKKI | |
ŞIKKI | |
ŞIKKI | |
ŞIKKI | |
ŞIKKI |
45 numaralı soru için açıklama

Sınavı tamamlamak için butona tıklayınız, yanlışlarınız gösterilecektir.
45 tamamladınız.